Aquí deixo el Control 2 i també la seva correcció. control-2-1eso-0910
Category Archives: Correccions controls
Leave a reply
Control 1 – Curs 09-10
Hola!
Fet i corregit el primer control, us el deixo aquí per si voleu tornar a veure els exercicis i fer les correccions. Només heu de clicar l’enllaç indicat a sota. També hi deixo la meva plantilla per corregir-lo.
Correcció Control_8
Control_8
Aquest ha estat el control 8.
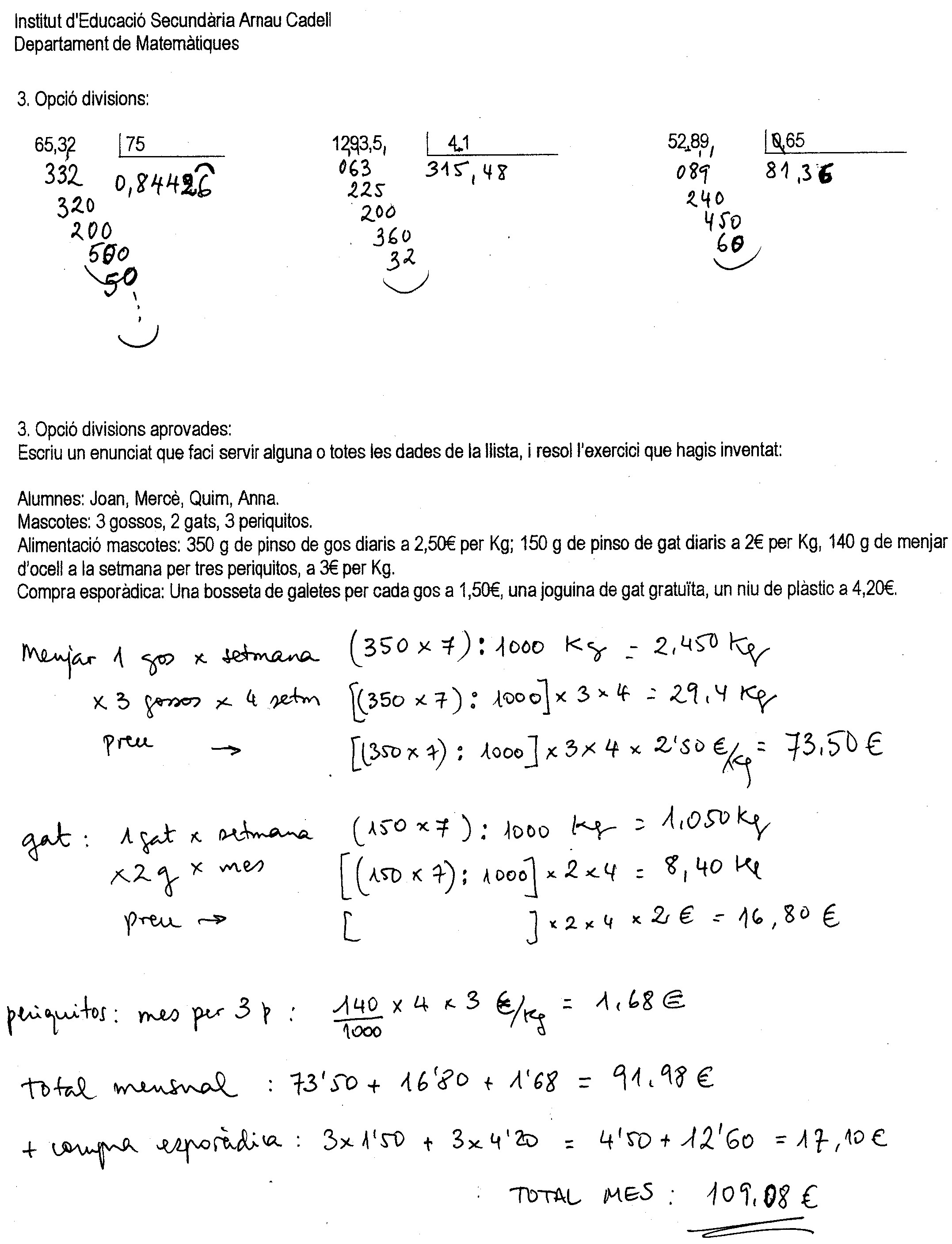
Les correccions en arxiu apart. I aquí el full de correccions per insistir en els errors que heu fet.
Correcció Control_7
Correcció Control_6
Correcció Control_5
Correcció Control_4
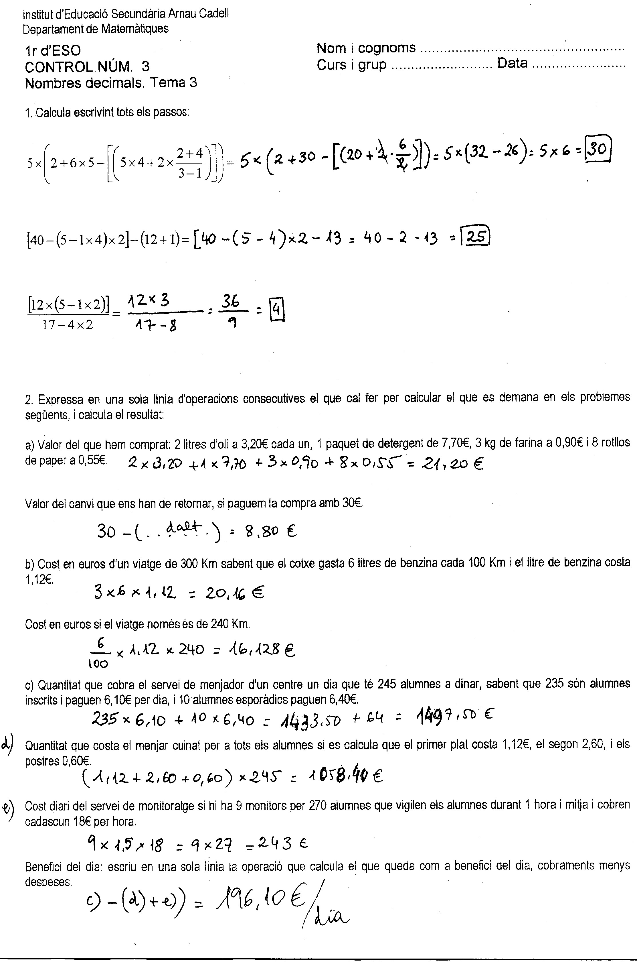
Correcció Control_3
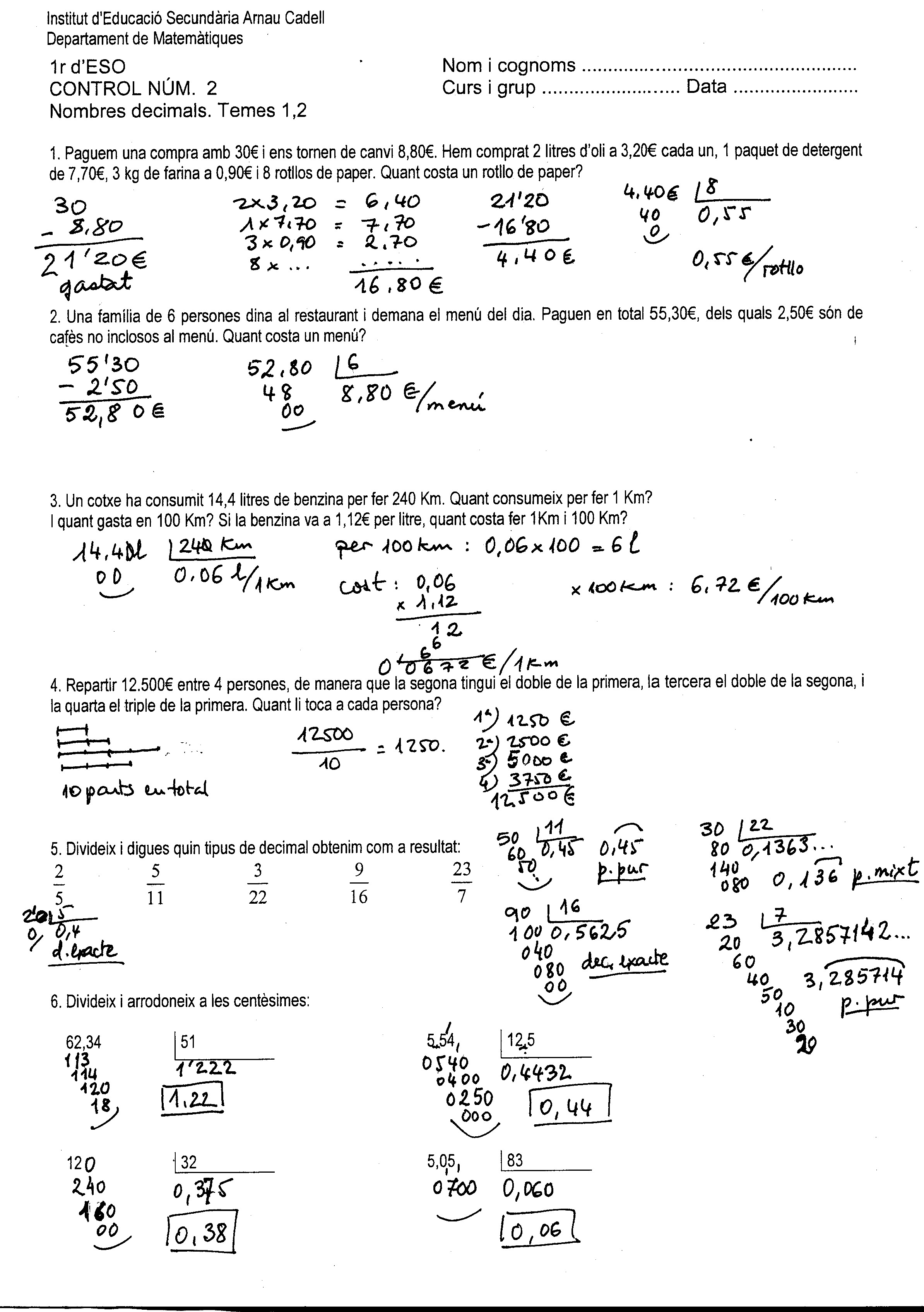
Correcció Control_2
1 full correcció control_2



