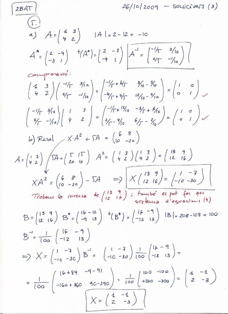
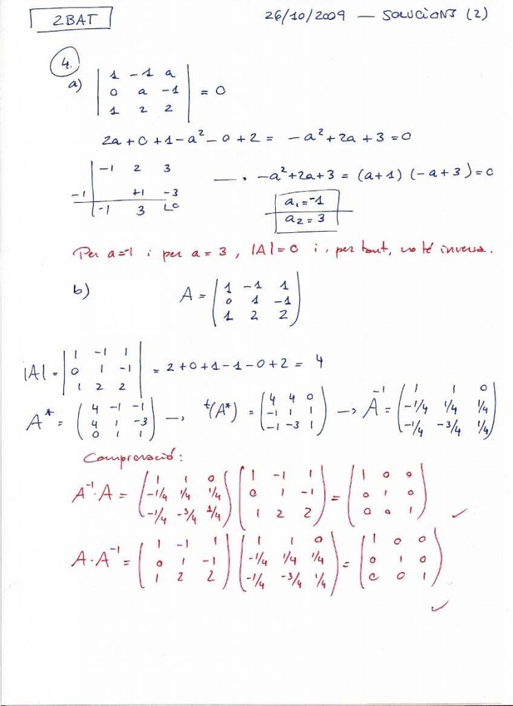
(26 octubre) solucions examen U2

u2-examen-01u2-examen-02u2-examen-031

Deixa un comentari

L'adreça electrònica no es publicarà Els camps necessaris estan marcats amb *