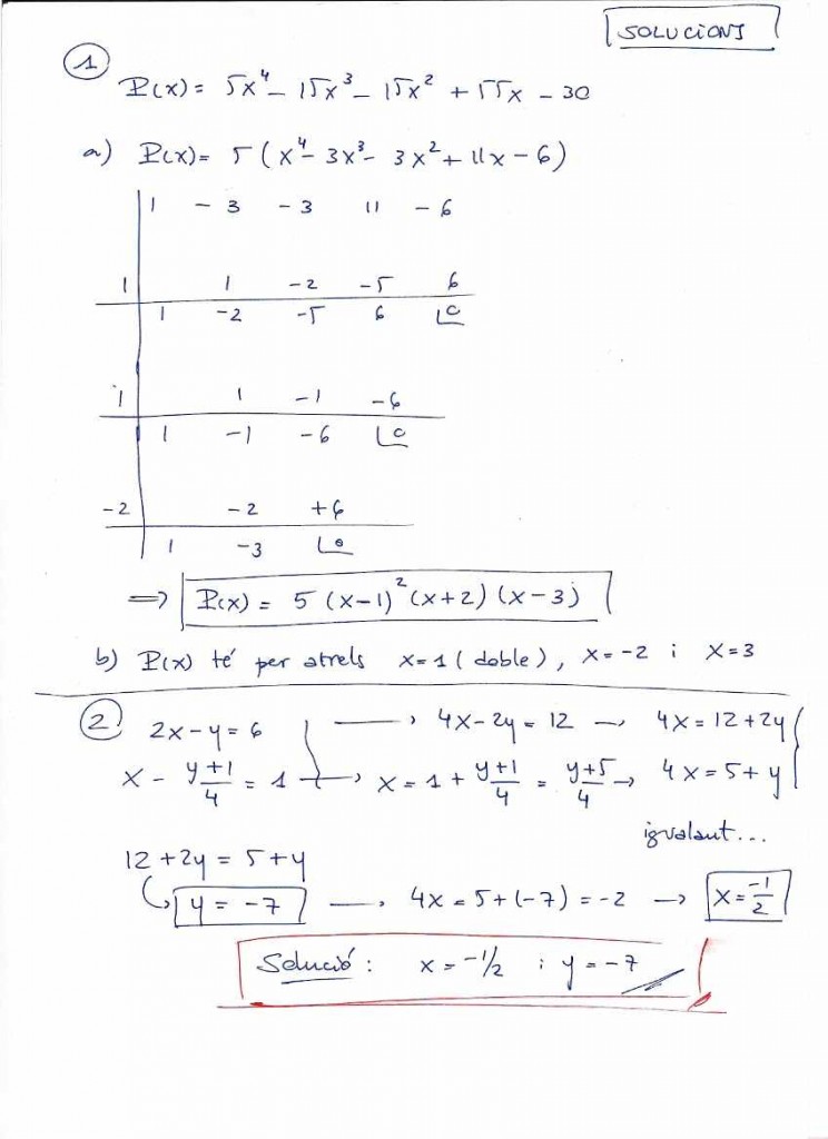
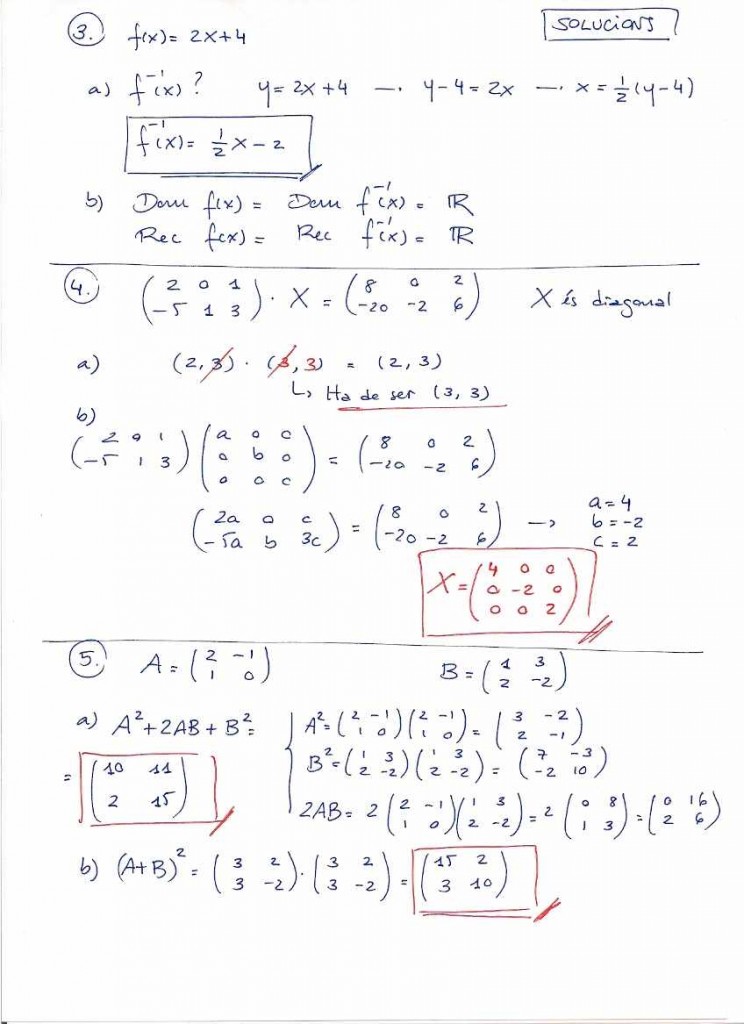
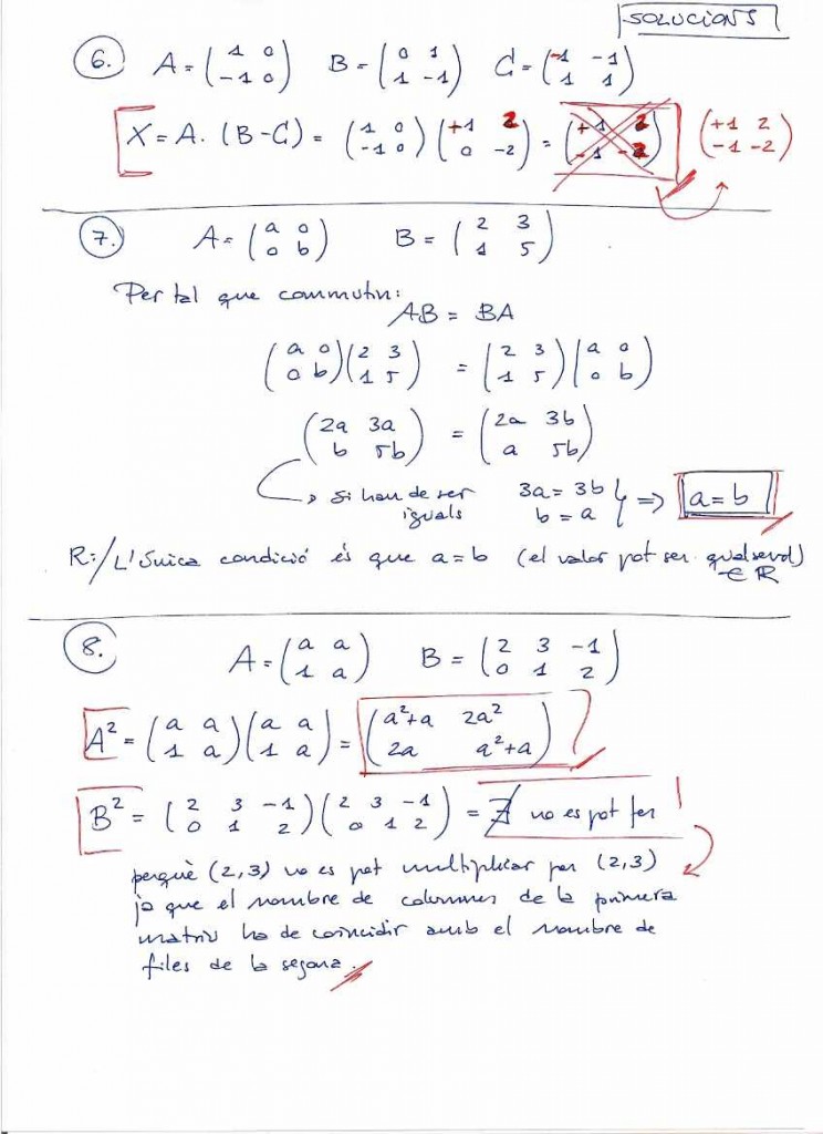
(7 octubre) solucions examen U0 U1

examen-u0-u1-full-1examen-u0-u1-full-2examen-u0-u1-full-3

Deixa un comentari

L'adreça electrònica no es publicarà Els camps necessaris estan marcats amb *