DIA 1
1-CONCEPTE DE FUNCIÓ (P.222)
Una funció es una relació entre las variables x i y. De forma que a cada valor de x li correspongui un sol valor de y.
Observa aquest dos dibuixos 
El primer no és funció perque per un valor de x, hi ha dos de y.
La variable x s’anomena variable independent, li dono els valors que jo vull, i la variable y és la variable dependent, el seu valor depen del que jo he donat a les x.
2-MANERES D’EXPRESSAR UNA FUNCIÓ(p.223)
Les funcions es ponen representar de moltes formes:
a)Per un enunciat d’un problema, per exemple:determina la funció que relaciona un nombre amb el seu doble, en aquest cas la funció seria f(x)=2x o bé y=2x
b)Per una equació, per exemple:y=2x
c)Per una taula de valors.
d)Per una gràfica , per exemple aquesta gràfica mostra els dies que treballen uns obrers relacionat amb el dies que necessiten per acabar un mur.

3-DOMINI D’UNA FUNCIÓ (P-226)
El domini d’una funció, Dom f , són tots els valors que pot tenir la x, i varia segon sea la funció.
3.1.DOMINI D’UNA EQUACIÓ POLINÒMICA
Les funcions polinòmiques poden ser de primer grau i s’anomenan rectes, de segon grau paràboles i el resta de funcions polinòmiques no tenen nom propi
3.1.1.DOMINI D’UNA RECTA
Una recta és una funció polinòmica de primer grau y=ax+b, on a s’anomena pendent i b es el punt de l’ordenada en l’origen, es a dir on talla al’eix de les y.
Quins valors puc donar a la x per obtenir la y?, tots en que vulgui, per exemple:

En aquest cas en donat valores com-1,0, 1,2,3…. però podia a ver donat altres, sempre trobaré una y.
Quan puc donar tots els valors diré que el domini de la funció és tots els reals.
Dom f=R
Totes les rectes tenen aquest domini
3.1.2-DOMINI D’UNA PARÀBOLA
Una paràbola és una funció de segon grau y=ax2 +bx+c , per fer el dibuix quins valors puc donar? ja vam veure en un altre tema que tots, però que tenia que buscar primer el vèrtex (x=-b/2a) per obtenir un bon dibuix

He posat els valors entre -3 i 3 però podia a ver posat altres valors, per tant podem dir que en una paràbola igual que abans Dom f=R
3.1.3.DOMINI D’UNA FUNCIÓ POLINÒMICA DE GRAU MÉS GRAN DE 2
Observa esta gràfica

La forma de la gràfica és diferent pero he pogut donar tots els valors possibles, per tant Dom f=R
Per tant la primera conclusió que traiem és que totes les funcions polinòmiques tenen el mateix domini Dom f=R
Sempre el domini de qualsevol funció serà els reals? Doncs no, anem a veure altres exemples.
3.1.4-DOMINI A TRAVÉS D’UNA GRÀFICA
Observa aquesta gràfica que relaciona el nombre de visitants estrangers amb els dies d’un mes
Pren la x qualsevol valor? doncs no, pren valors gener i desembre, el seu domini serà Dom f=[gener,desembre] ,ja no són els reals
Observa:

El seu domini són els valors de les x,va desde el punt a fins e, per tant
Dom f=[a,e]
Exercici 1
Troba el domini d’aquestes funcions


DIA 2
4-DOMINI D’UNA FUNCIÓ QUE NO ÉS CONTINUA A TROSSOS
Si és una funció a trossos s’escribirà cada tros, posant claudator si el punt està ple i parèntesis si està buit. Mira la gràfica:
La primera gràfica h ha dos trossos el primer va desde el -3 fins -1, i el segon tros desde el 0 fins el infinit (inf). Observa que en x=-3 el punt es ple (claudator) i en x=0i x=-1 és buit (parèntesis), per tant Dom f=[-3,-1) U (0,inf)
La segona gràfica comença en el menys infinit i acaba en x=2 (punt buit, es a dir parèntesis) i comença un altre vegada en x=2 però acaba en el infinit, per tant
Dom f=(- inf, 2) U [2, inf)
Ahora et toca a tu
Exercici 2
Troba el domini de les gràfiques següents:


Solució
5-FUNCIÓ RACIONAL
Les funcions racionals són les que tenen denominador com la hipèrbola y=k/x, com ja recordes no es continua perquè quan x=0 no existeix , es a dir
Dom f=R-{0} trec el 0 perquè és el nombre que anul.la el denominador
Si tinc la funció y=1/(x-1) el nombre que anul.la el denominador és el 1, per tant Dom f=R-{1}
Exercici 3
Mirant l’exemple anterior digues quin és el domini de les funcions següents:
a)y=2/x ; y=5/(x+4); y=2/(x-4); y=-3/(x+6)
6-RECORREGUT(P.226)
El recorregut d’una funció és el conjunt de tots els valors de les y, i per saber aquest valors s’ha de veure el dibuix.
Mira aquest video
Exemple troba el recorregut de les funcions següents

Exemple:
Quin és el recorregut?

Els dos tenen el mateix recorregut tots els reals.
Exercici 4
Troba el recorregut


Aquí pots fer una autocorrció
DIA 3
7-CONTINÜITAT (p.228)
Una funció és continua quan es pot dibuixar amb un sol traç sense aixecar el llapis.
funció discontinua
La hipèrbola és una funció discontinua
La recta és una funció continua
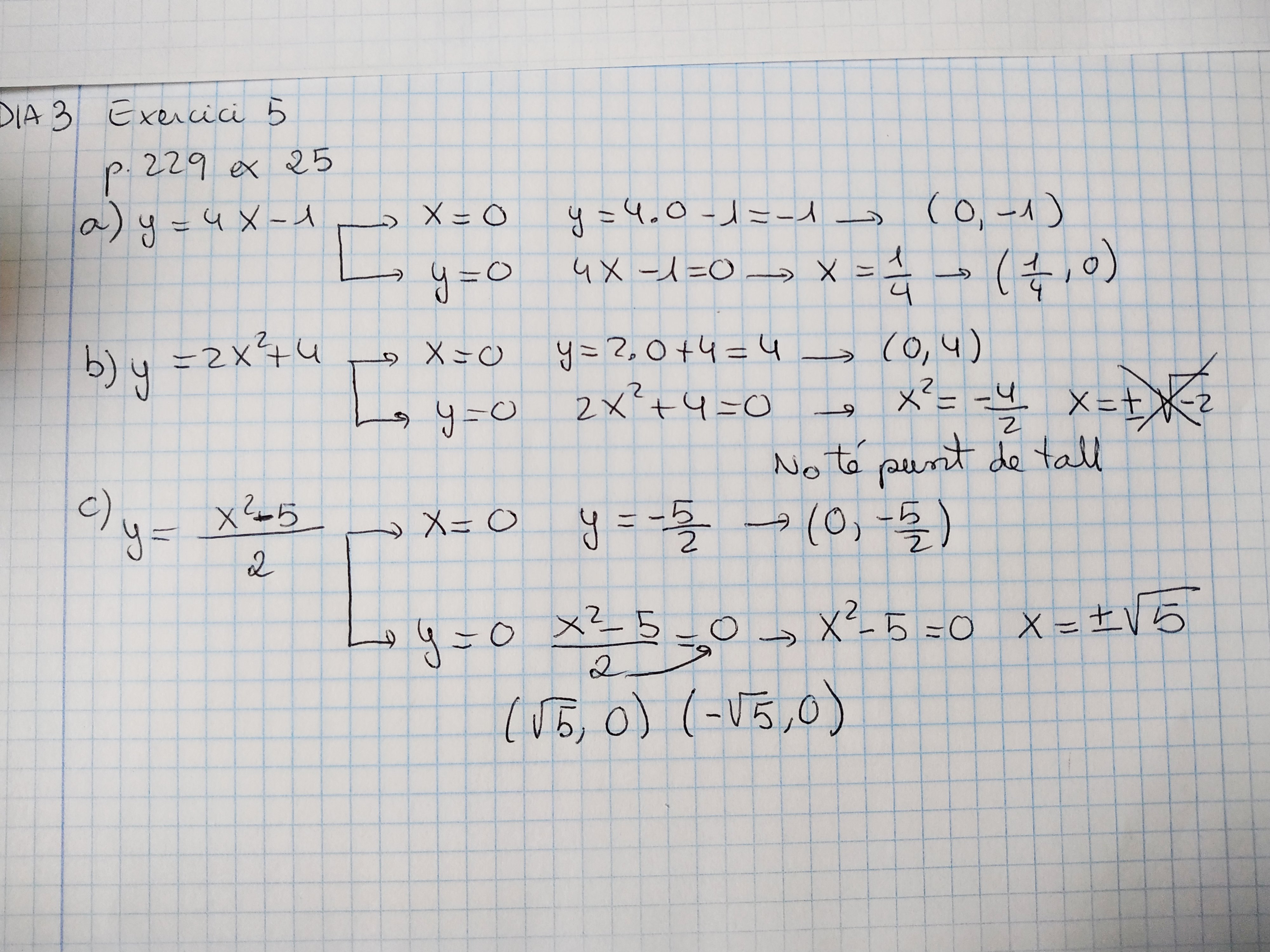
Exercici 5
p.228 ex 22
6-PUNTS DE TALL D’UNA FUNCIÓ (P.229)
Per calcular els punts de tall hem de posar x=0 i trobar la y, també hem de posar y=0 i trobar la x.
Exemple-Troba els punts de tall de la recta y=x-2
Procediment.
a) x=0 y=0-2=-2 punt (0,-2)
b)y=0 0=x-2 aillant x=2 punt (2,0)
Mira el video
Si són equacions de segon grau, es a dir paràboles és una mica més cumplicat:
Exemple-Troba els punts de tall de y=x2-6x+5
a)x=0 y=0-0+5 punt (0,5)
b)y=0 0=x2-6x+5 hem de resoldre aquesta equació de segon grau amb la fórmula (mira el video si no ho recordes) les solucions són x= 5 i x=1 per tant haà hi ha dos punt (5,0) i (1,0)
ir quest video si tens dubtes
Exercici 4 bis
p.229 26
Exercici 5
p.229 ex 25, troba els punts de tall en les abscisses i en les ordenades
Si no ho saps fer pots ajudar-te de la solució
8-CREIXEMENT I DECREIXEMENT
Una funció és creixent si mirant la funciò d’esquerra a dreta la funció augmenta com si fos una muntanya i si va com un tobogan direm que decreix
La primera funció és creixent i la segona decreixent.
Les funcions no sempre són sempre creixent o decreixent sino que es poden combinar ,com és el cas de la paràbola

Aquesta és decreixent=(-inf, 0] i creixent=[0,inf), per escriure els intervals només es mira les x, no les y.
Exercici 7 bis

Troba els intervals de creixement i decreixement
DIA 4
9-MÀXIM I MÍNIMS (p.230)
Una funció té un màxim si passa de creixent a decreixent, com si fos una muntanya. Serà mínim si passa de decreint a creixent.

A vegades el mínim no és el punt mès baix de la funció, per això parlarem de mínim absolut i relatiu.
És un mínim, però és relatiu perquè la funció continua amb valors més petits.
Igual passa amb els màxims també hi ha relatius
Exercici 7
p.230 ex 30
Exercici 8
p.231 ex 33
Exercici 9
p.231 ex 34
Aquí tens les solucions
10-PERIDIOCITAT
És un afunció periòdica aquella que es repeteix
Com pots veure la funció es fa repetint fins l’infinit.
11-SIMETRIA (P.232)
La funció pot ser simètrica respecte l’eix de les y, s’anomena funció par i tan si posem el valor de x positiu o negatiu s’obté el mateix valor, es a dir:
f(x)=f(-x)

Aquesta funció és simètrica respecte l’eix y (vertical), és par. Si agafo dos valors qualsevol per exemple 2 i -2, obtenim f(2)=4 f(-2)=4 dona igual.
Pero la funció també pot ser simètrica respecte el punt (0,0), s’anomena funció imparell i cumpleix: f(x)=-f(x).
Aquesta funció és simètrica respecte (0,0), és imparell, aquesta funció és y=x3, comprovarem que és imparell amb els valors d’abans f(2)=8 f(-2)=-8.
Exercici 10
És la funció f(x)=x6+ 5 simètrica?

DIA 5
EXERCICIS DE REPÀS
P.235 EX 56
P.235 EX 58
P.235 EX 59
P.235 EX 62
P.235 EX 63
P.236 EX 66
DIA 6
12-QUÈ HE D’ESTUDIAR D’UNA FUNCIÓ?
1-DOMINI
2-RECORREGUT
3-CONTINUÍTAT
4-PUNTS DE TALL AMB ELS EIXOS
5-INTERVALS DE CREIXEMENT/DECREIXEMENT
6-MÀXIMS I MÍNIMS
7-PERIODICITAT
8-SIMETRIA
A continuació anem a estudiar diferents funcions.
12.1-RECTES
Estudia la funció y=2x+1
1-DOMINI
Puc donar qualsevol valor a les x, no hi ha restriccions, per tant el domini seran tots els nombres dom f=R
2-RECORREGUT
Són les y, pot sortir qualsevol valor, per tant Imf =R
3-CONTINUÍTAT
És una funció continua, es pot fer d’un sol traç
4-PUNTS DE TALL AMB ELS EIXOS
x=0 y=0+1=1 punt (0,1)
y =0 x+1=0 x=-1 punt (-1,0)
5-INTERVALS DE CREIXEMENT/DECREIXEMENT
Recorda que el nombre que hi ha davant le x, el pendent, indica si una funció és creixent (positiva) odecreixent ( negativa). Com és 2, és una funció creixent.
6-MÀXIMS I MÍNIMS
Una recta no té ni màxim ni mínim
7-PERIODICITAT
No son periòdiques
8-SIMETRIA
No són simètriques
12.2-PARÀBOLES
Estudia la funció: f(x)=4x2-8x+2
1-DOMINI
Igual que les rectes puc donar qualsevol valor de les x, Dom f=R
2-RECORREGUT
Com el valor de a és positiu la parabola està somrient i per tant el recorregut anirà del vètex cap amunt ,per tant sempre Im f= ( vèrtex, infinit)
Per calcular el vèrtex com ja hem vist x=-b/2a en el nostre cas x=-(-8)/2.4 =1
per tant si x=1 la seva y serà substituint en l’equació y=4-8+2=-2 Imf= [-2 , inf)
3-CONTINUÍTAT
Té foma de U la paràbola, és continua
4-PUNTS DE TALL AMB ELS EIXOS
x=0 y=0+0+2 =2 punt (0,2)
y=0 4x2-8x+2=0 es resol l’equació de segon grau, dona les solucions x=1,7 i x=0,3 els punts són (1,7 ,0) i (0,3 ,0)
5-INTERVALS DE CREIXEMENT/DECREIXEMENT
Sempre decreix fins el vèrtex per tant (-inf, 1) i creix (1,inf)
6-MÀXIMS I MÍNIMS
Té forma de U, té un mínim en el vèrtex( 1,-2)
7-PERIODICITAT
No és periòdica
8-SIMETRIA
f(1)=4-8+2=-2 f(-1)=4+8+2=14 no es ni par ni impar.
9-GRÀFICA
Donem valors i la representem, el gràfic es pot fer en qualsevol moment.

Exercici 11
Estudia la funció y=x^2-2x-3. Fes el gràfic. No feu la peridiocitat.
Aquí tens l’explicació si no ho saps fer
Exercici 12
Estudia y= -x^2+8x-7 , fes la gràfica
Si tens dubtes mira el video, en aquest video l’ordre no es el que hem establert, però els resultats són vàlids, sempre es comença per el domini
Aquí tens les solucions si no vols veure el vídeo
Exercici 13
Estudia la funció a trossos
f(x)=2 si x<2
x/2 +2 si -2 menor o igual x menor igual 2
2-x si x>2
En las funcions a trossos a trossos primer se ha de fer una recta on posarem les funcions per veure més clament el domini
Es dibudeix en tres parts i es fan les tres rectes, la primera és una recta horizontal, a partir del dibuix es treballa l’exercici
Aquí tens la solució
exercici 14
Estudia la funció
f(x)= 1 si x≤0
x2+1 si x>0
Et deixo com fer la gràfica (està al final del video)
Solució







Deixa un comentari