test-donesEn l’arxiu adjunt trobareu les preguntes del test amb la solució corresponent.
Espero que us sigui d’ajuda pel vostre estudi.
Tema 4. Moviment ondulatori
tema-4-moviment-ondulatori2En aquest arxiu trobareu tot el Tema 4 sencer D1-D50.
Ànims i a estudiar força
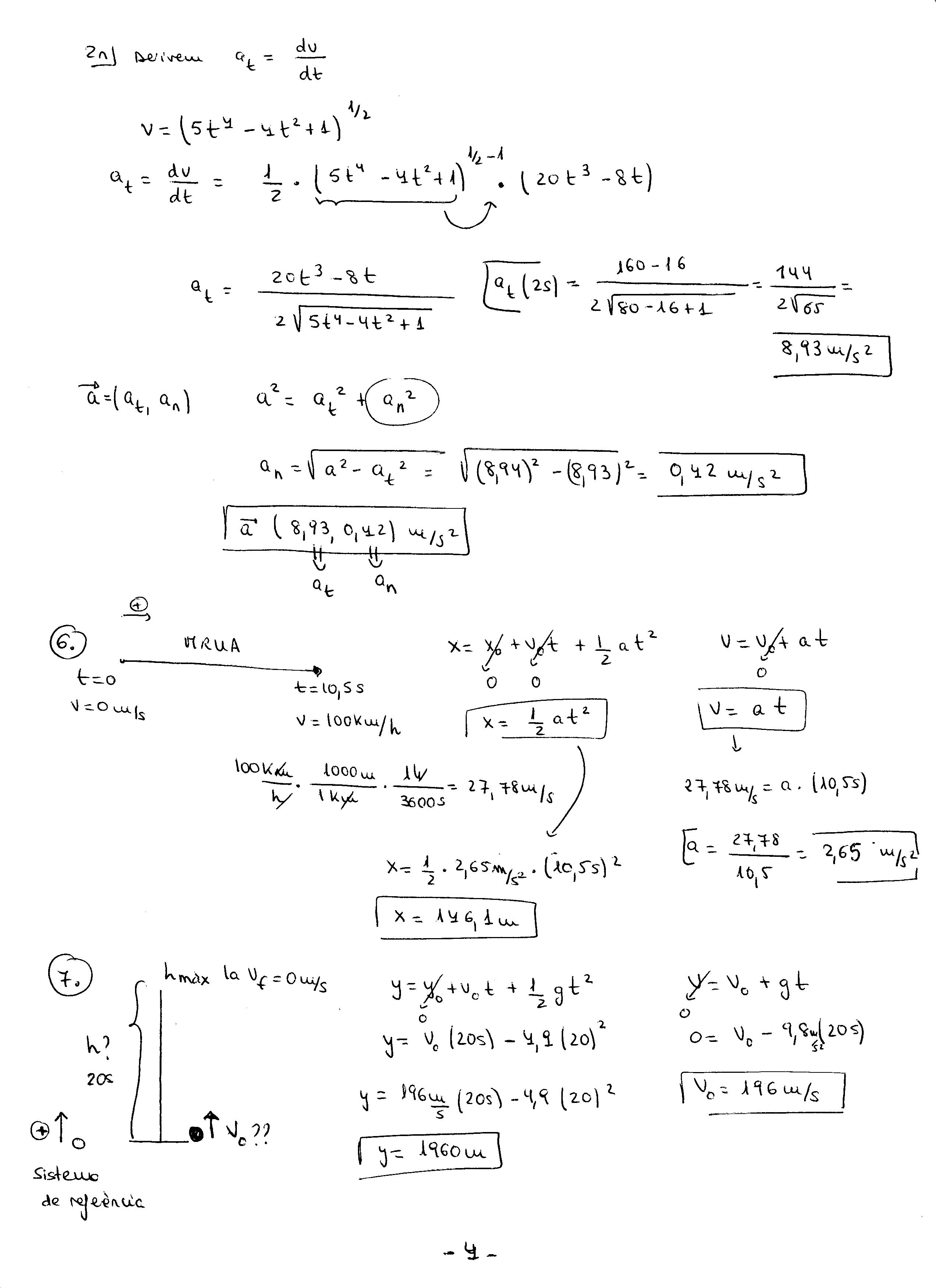
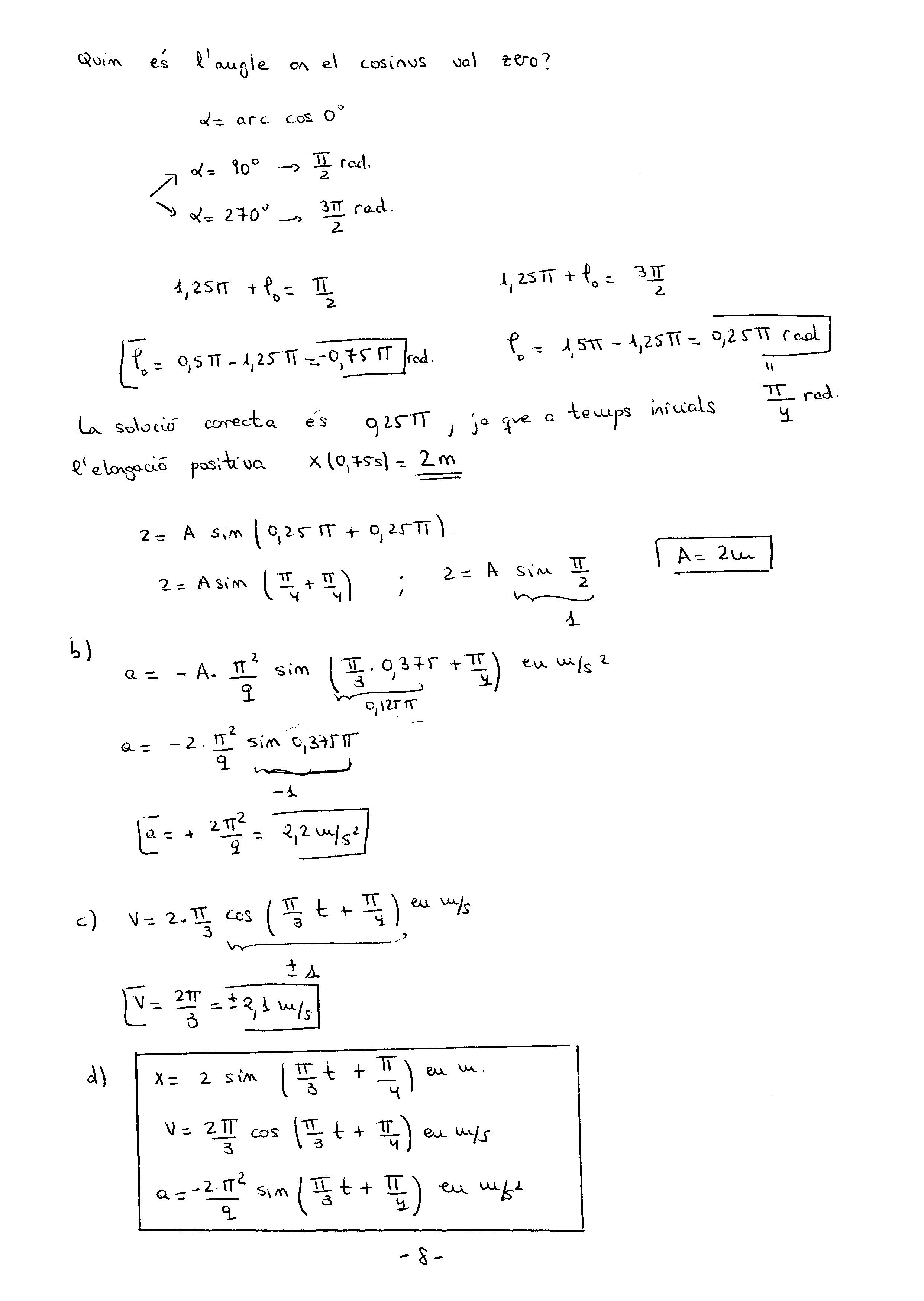
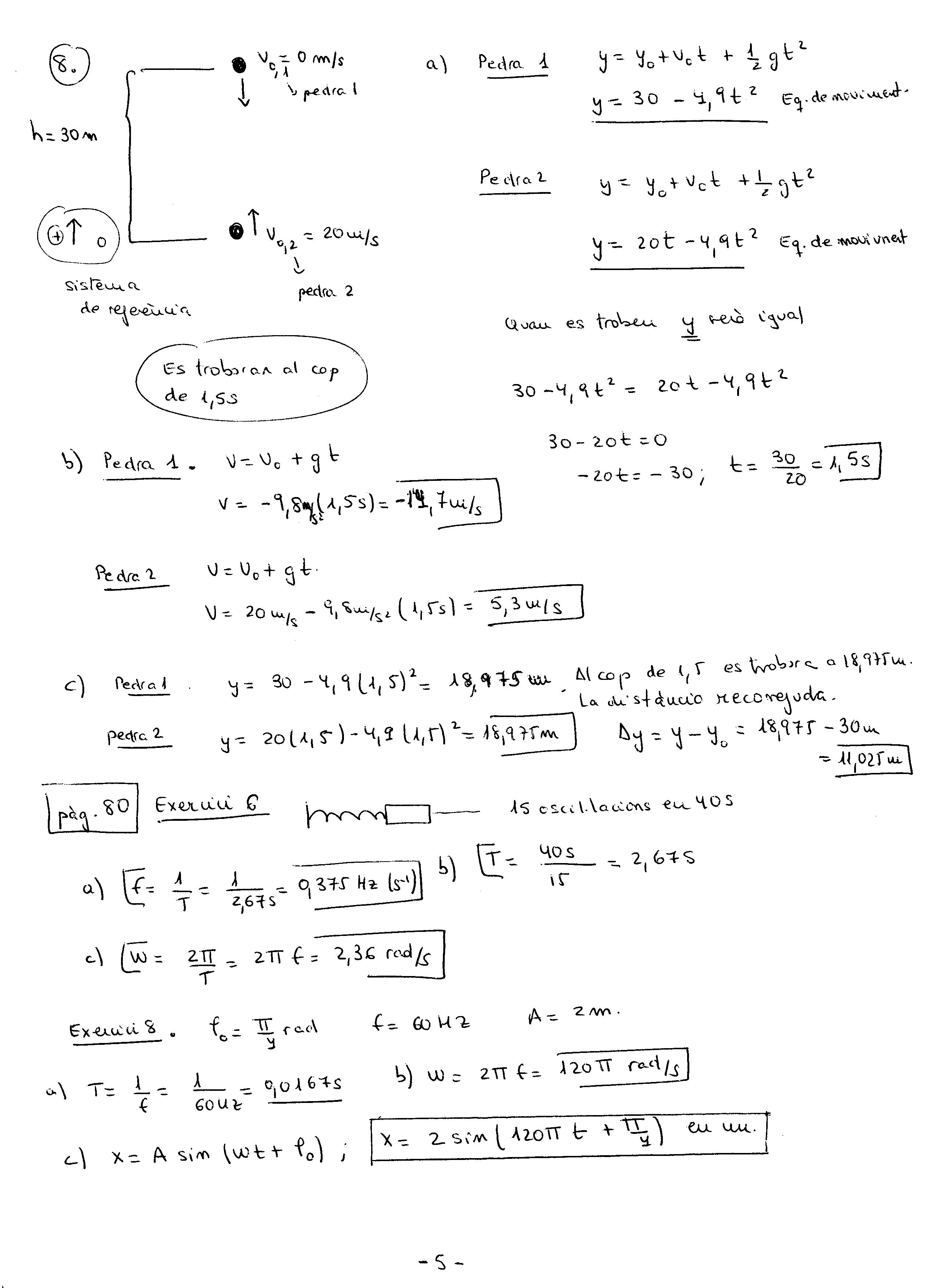
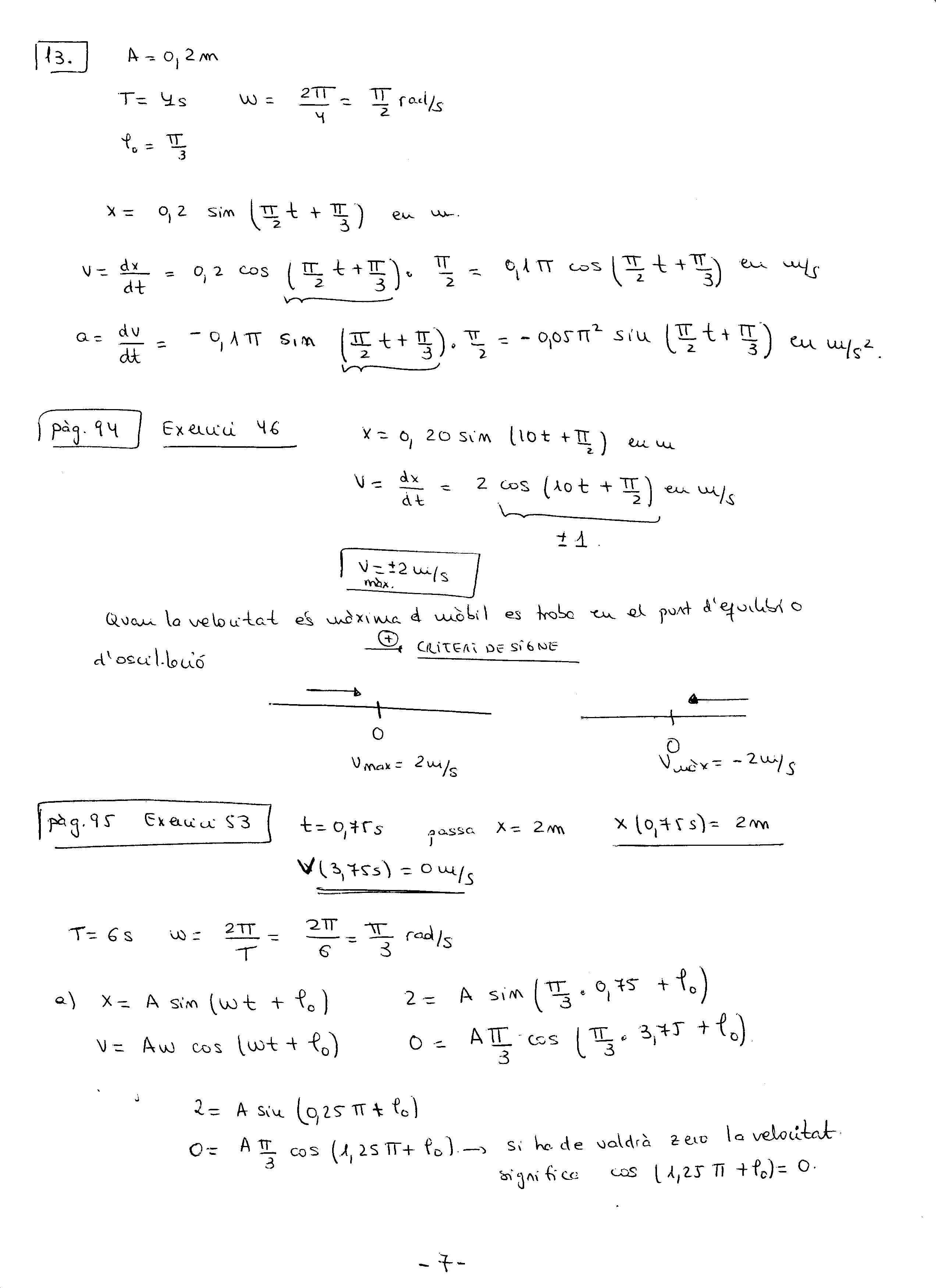
Solucions del Tema 3. Treball i energia
solucions-del-tema-pag9solucions-del-tema-pag8solucions-del-tema-pag7solucions-del-tema-pag6solucions-del-tema-pag5solucions-del-tema-pag4solucions-del-tema-pag3solucions-del-tema-pag2solucions-del-tema-pag1
En els arxius adjunts trobareu les solucions del Tema 3.
Estan inclosos en les solucions els problemes 9, 13 i 14 que són de deures pel proper dimarts (3 de novembre de 2009).
Bon cap de setmana
Sònia
Exercicis del Tema 3
tema-3-problemesPerdoneu que ho pengi tant tard. No me’n recordava que avui arribava tard.
Classe dilluns (26/10/09)
Classe divendres 23 d’octubre de 2009
Aquí trobareu l’inici del Tema 3 (D1-D13)tema-3-treball-i-energia
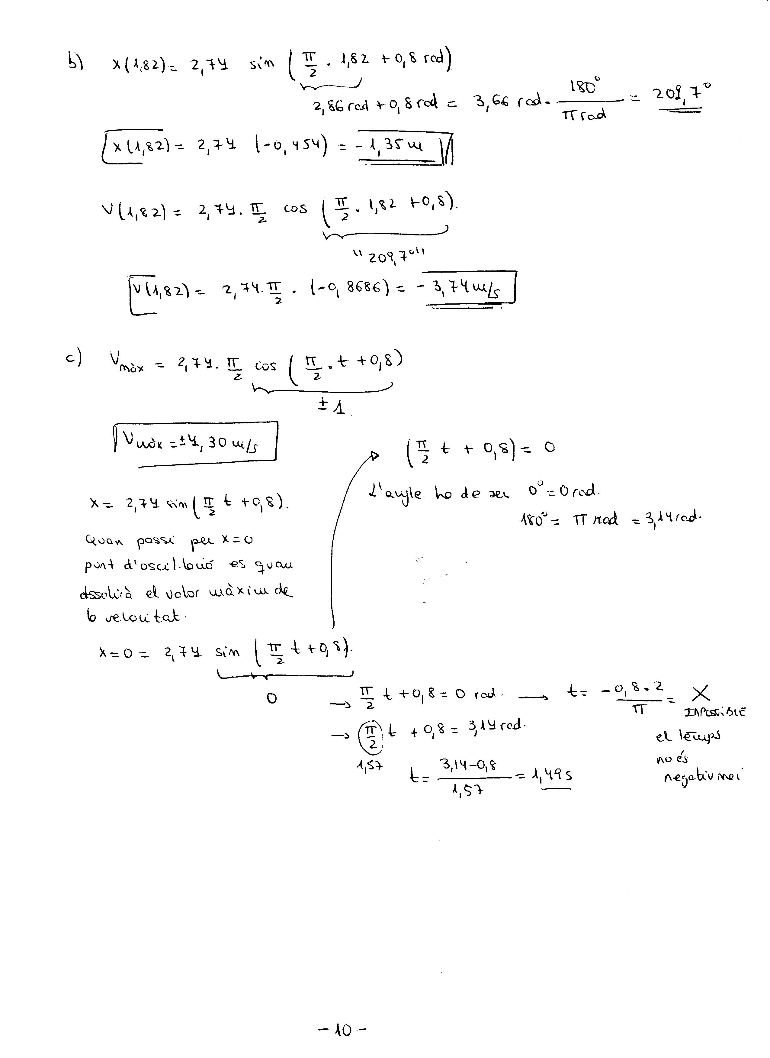
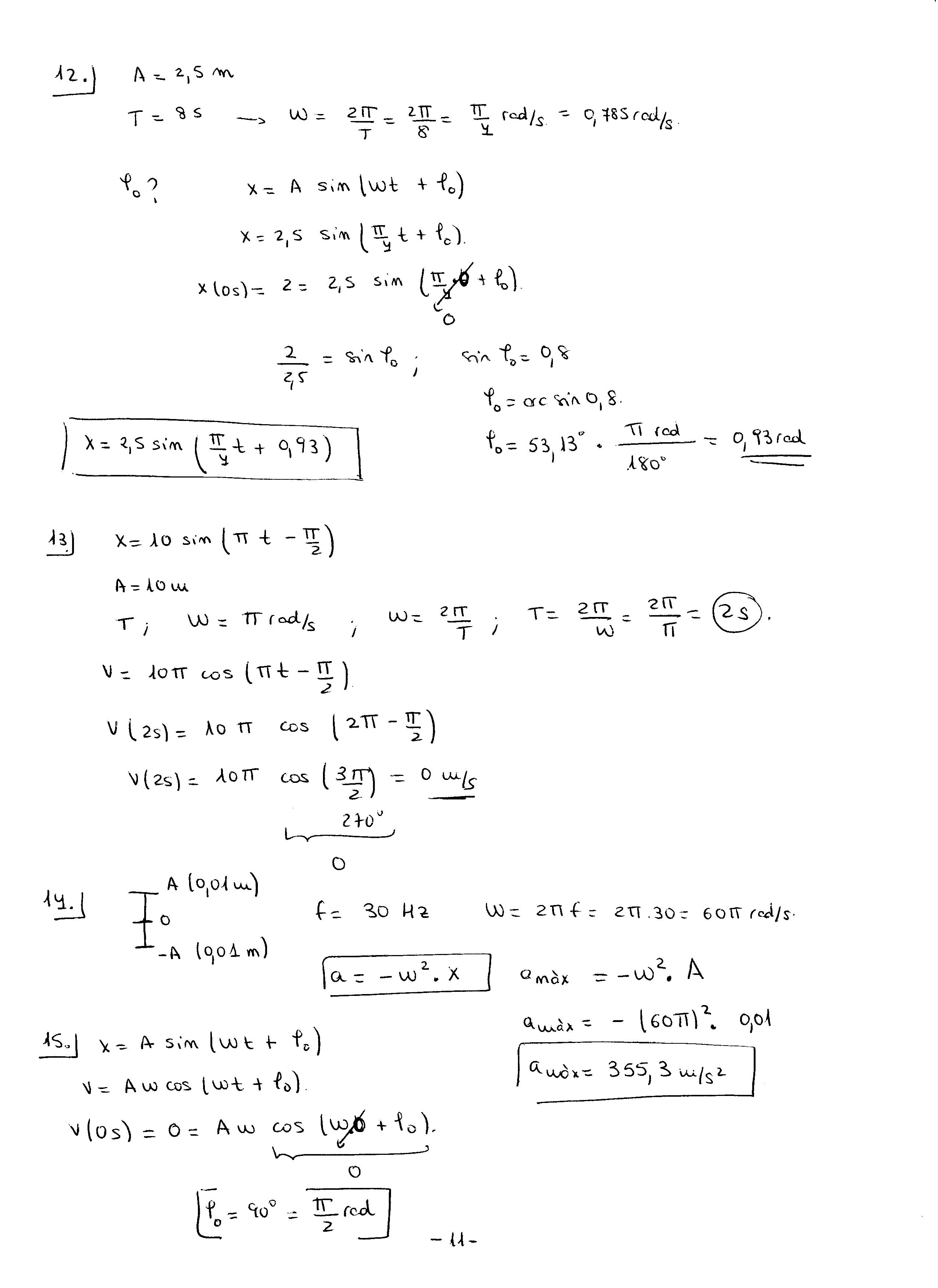
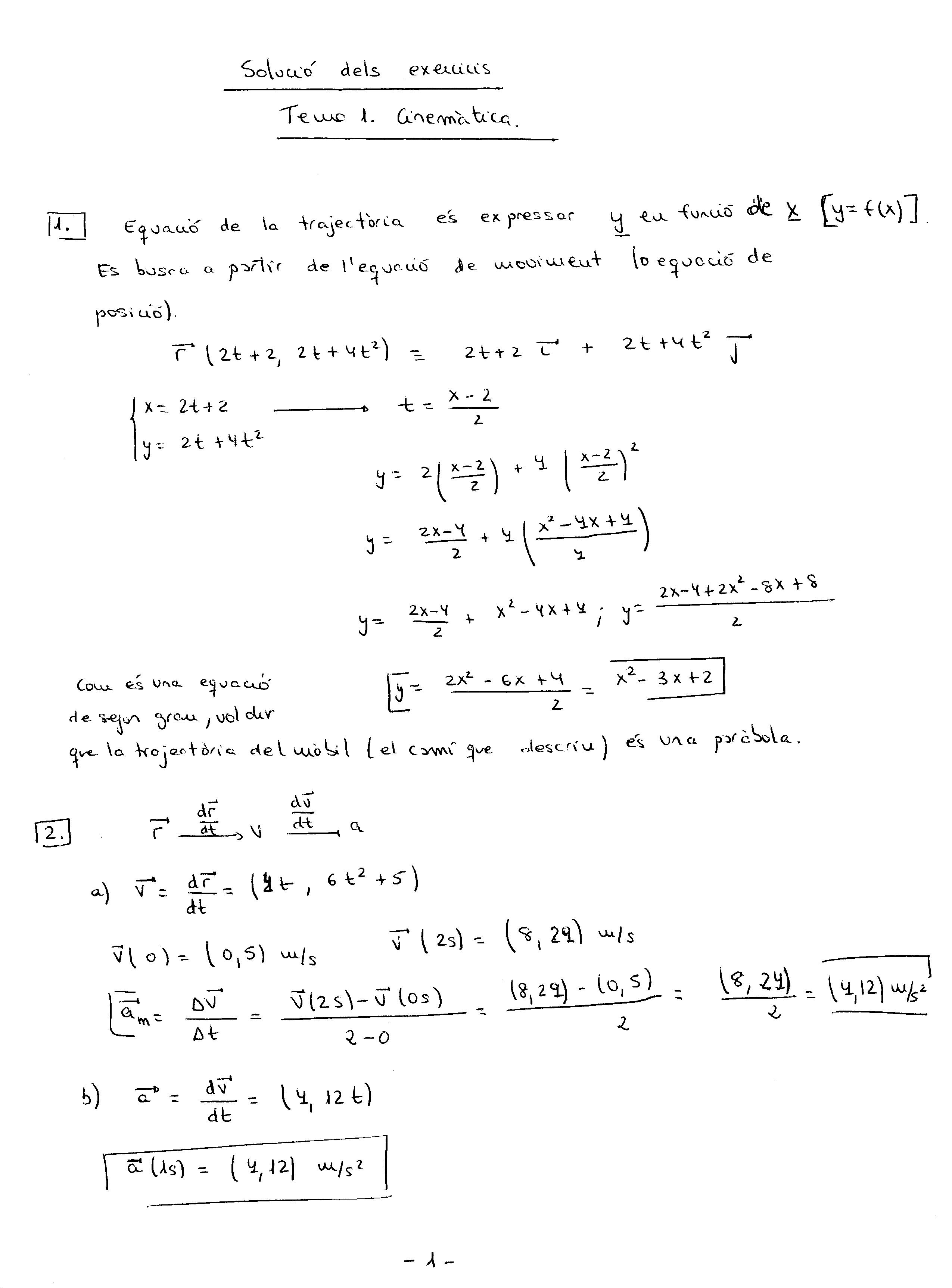
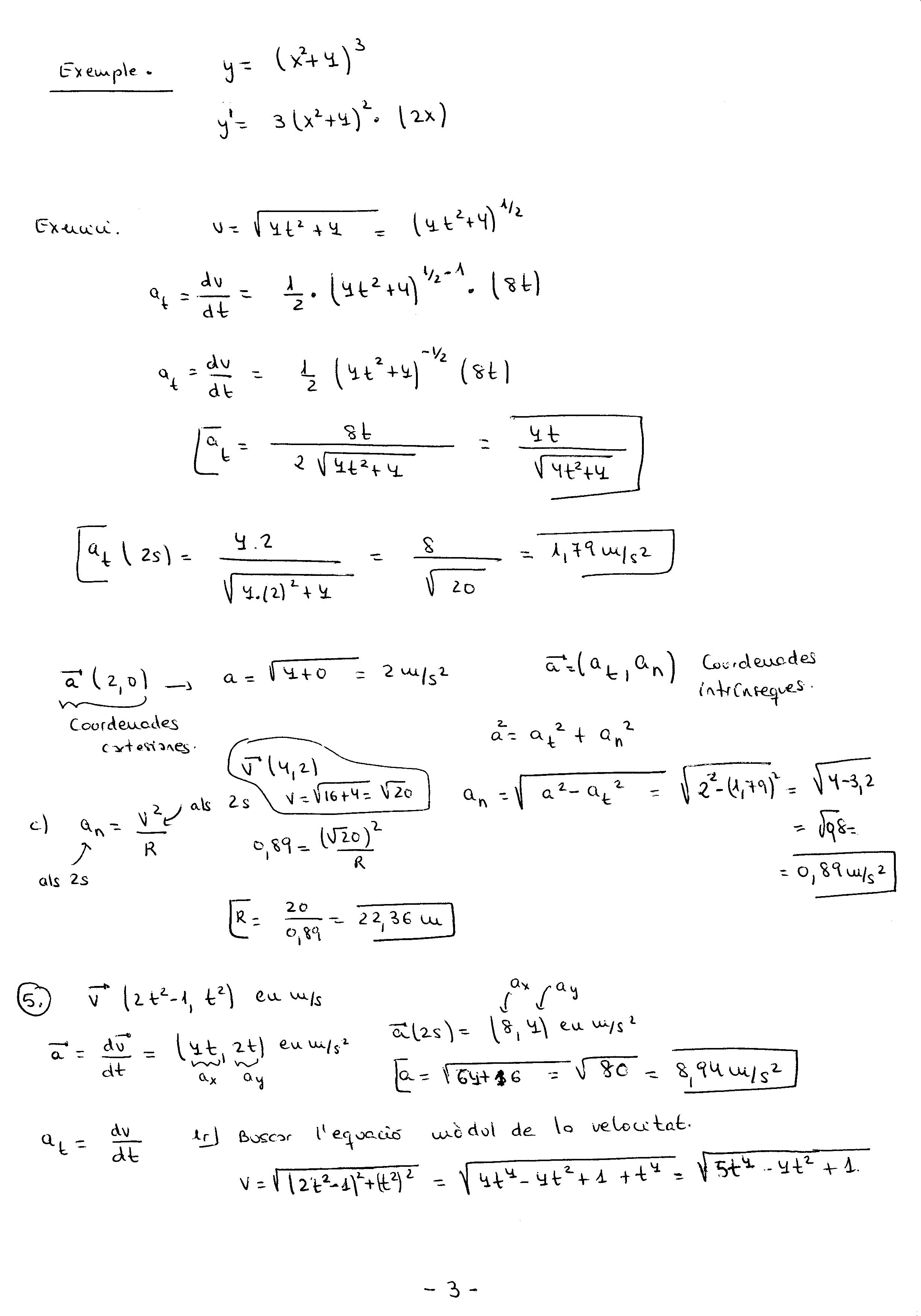
Solucions del Tema 1 (page 1-11)
Apunts del Tema 1 (MHS)
Apunts del Tema 1 (MHS) (conté la classe de divendres 25/09/09 i del dilluns 28/09/09)
Al final he tingut sort i he pogut pujar l’arxiu en format ppt per tal que el pogueu descarregar al vostre ordinador, i poder treballar millor, per si algú estigués interessat en imprimir-lo.
Fins demà
Sònia
Classe del dilluns 28 /09 /09 MHS
Correspon a la classe del dilluns 28/09/09
Tema 1. Cinemàtica Classe dv 25/09/09
A la tarda penjaré la classe de dilluns 28/09/09 per si algú se la vol imprimir i portar-la. Comenceu a fer els exercicis, no els deixeu per l’últim dia.
Ànims










