Aquí trobareu totes les diapositives del Tema 6, que hem fet fins el dia 18 de Gener.
Nota important!!!
Avui el Quico m’ha preguntat que volia imprimir-se els powerpoints per estudiar millor, però no volia gastar mil pàgines.
Hi ha una opció a l’hora d’imprimir que et permet imprimir 2,4,6 …. diapositives en el mateix full.
En les opcions d’imprimir posa
Escalado de pàgina i en la “pestañita” escolliu l’opció: “Varias páginas por hoja”
Si us obriren més opcions, on podeu escollir pàgines per full, jo us recomano 6 pàgines per full, a la part dreta teniu la imatge de com us quedarè.
Fins aviat
Sònia
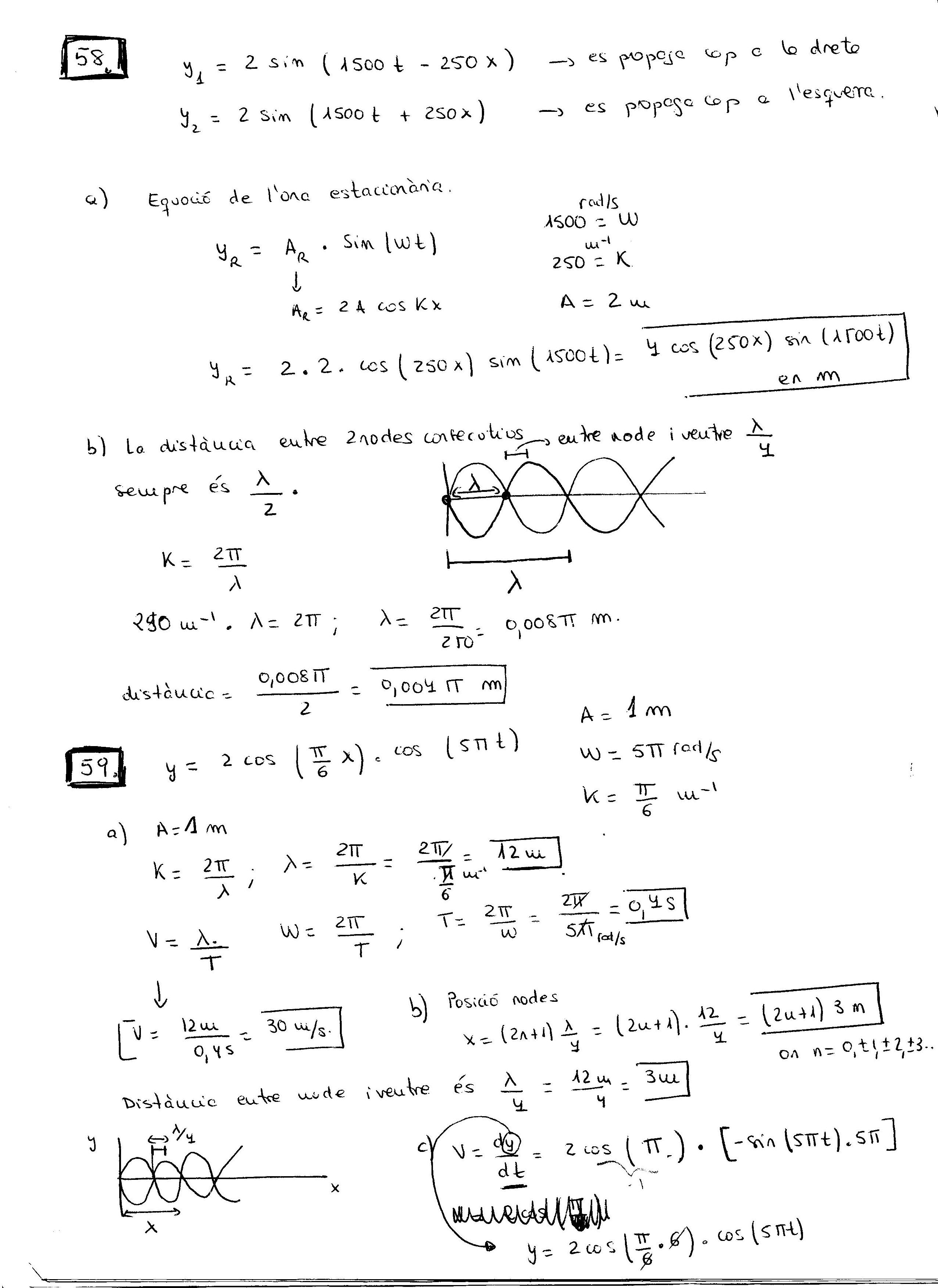
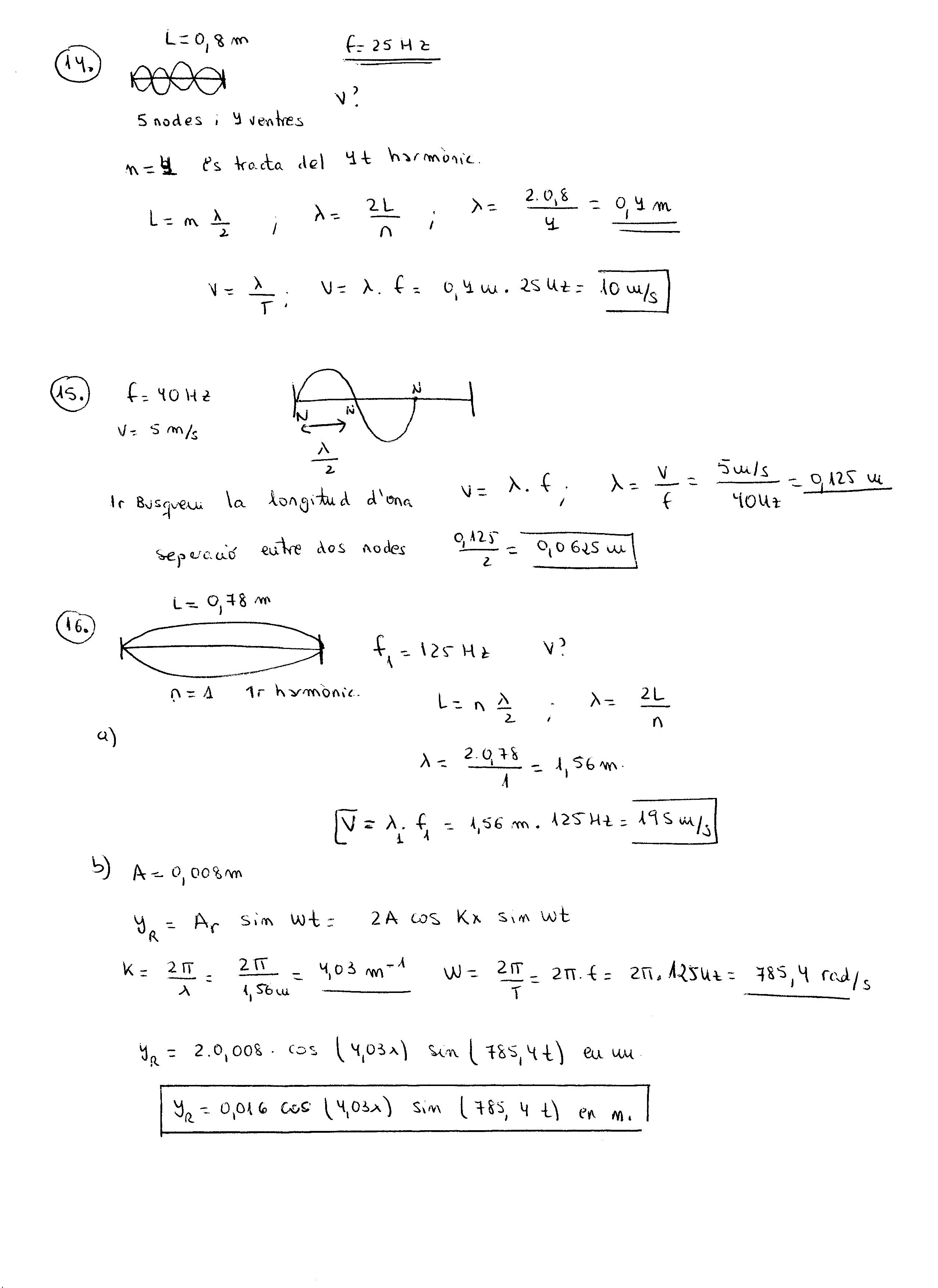
Exericis de la fotocòpia Tema 5
PROBLEMES DEL TEMA 5
Continuació del Tema 6.D23-34
Continuació del Tema 6. En aquest arxiu trobareu el punt 6.4. Intensitat del camp gravitatori.tema-6-camp-gravitatorid23-d34
Continuació del Tema 6. Classe divendres 8 de Gener D10-D22
Continuació del Tema 6. Inclou l’apartat 6.3 Lleis de Kepler i la Llei de la Gravitació universaltema-6-camp-gravitatorid10-d22pdf
Tema 6. Camp gravitatori Inici D1-D9
En l’arxiu adjunt trobareu el començament del Tema 6. Camp gravitatori, que correspon de la D1 a la D9.
Durant el Nadal us penjaré els exercicis que quedaven per corregir del Tema 5 de la fotocòpia i els del llibre de la pàg. 144-145 que vau fer amb la Núria.tema-6-camp-gravitatori
Final Tema 5
Aquí trobareu les últimes diapositives del Tema 5.
tema-5-fenomens-ondulatorisd58-d68
Tema 5. Fenòmens ondulatoris
En l’arxiu adjunt trobareu la continuació del Tema 5 (D39-57).
Bon cap de setmanatema-5-fenomens-ondulatoris-d39-d57
Tema 5. Fenòmens ondulatoris
Per fi he pogut penjar els apunts del Tema 5. Fenòmens ondulatoris (en aquests apunts falten els dos últims punts. Ones estacionàries i l’efecte Doppler). Això ho penjaré el divendres 4 de desembre.
Espero que us sigui d’utilitat. No espereu a l’últim per descarregar-lo.
Ànims.









